1550 nm triple-junction laser diode excels for automotive lidar
Laser imaging, detection, and ranging (lidar; also referred to as LiDAR) is one of the crucial systems that will turn the concept of autonomous vehicles into reality. It is expected to detect and recognize objects such as cars and pedestrians in the day and night, either on a city street or a high-speed freeway. The most stringent requirement for a successful lidar on a vehicle is its capability to successfully detect over a range of 200 m or more on a freeway at a typical driving speed of 75 mph. Only when a lidar can detect at such a long range under various weather conditions can the vehicle react and maneuver according to any potential obstacle without endangering other vehicles and people around it (see Fig. 1).
Unfortunately, most of the lidar systems available in the marketplace require many laser emitters and a complex system design to detect targets over 200 m away, as a single laser emitter can hardly reach over 100 m based on lasers that operate at short wavelengths such as 905 nm. In fact, the motivation behind the 905 nm adoption has not been based on its performance, but rather on its commercial availability and lower cost. The major reason behind such poor performance is its potentially detrimental effect to human eyes based on the international eye safety standard IEC 60825-1,1 which limits its allowable output energy. When increasing the 905 nm laser energy to extend the lidar detection range, the unsafe photons can travel through the human eye’s lens and cornea, reaching the retina and causing permanent damage.
On the contrary, it has been well noted in the lidar community that longer wavelengths such as 1550 nm are the best choice for lidar light sources, as they are in the eye-safe portion of the spectrum (>1300 nm). Wavelengths above 1300 nm are considered intrinsically eye-safe because light at these wavelengths are largely absorbed by the lens and cornea and dissipate harmlessly as heat without causing damage to the eye.1 The reason that few lidars based on 1550 nm are under development or deployed stems from the lack of high-power laser diodes at such long-wavelength regimes to deliver enough photons. Some lidar systems use fiber lasers at 1550 nm to achieve long-range performance, but due to high cost and complexity, they are not commercially feasible.
Here, we demonstrate a newly developed high-power semiconductor laser diode with triple junction at the eye-safe 1550 nm wavelength (see Fig. 2). This laser can generate 50X more photons per second and is capable of reaching 3X longer distance than its 905 nm counterpart in a one-to-one comparison. This breakthrough in 1550 nm diode lasers allows the lidar industry to look beyond the 905 nm range of 100 m with a single emitter and opens up a whole array of long-range detection applications.The following analysis compares 1550 nm triple-junction and 905 nm laser diodes with respect to eye safety levels, the number of allowed photons, and photon budget over the detection range, target reflectivity, and atmospheric media. With receiver performance and assumed system parameters, the single-emitter lidar system is benchmarked based on signal-to-noise ratio (SNR) and probability of detection PD, showing that 1550 nm easily outperforms 905 nm over 200 m.
Eye-safe levels of 905 nm and 1550 nm
In a lidar system using the time-of-flight (ToF) approach with a single emitter, collimated laser pulses are released out of the exit window, scanned across the targeted space within the field of view (FOV), and reflected by objects in front of the vehicle. The signal photons are then collected and converted into electrical signals via a receiver circuitry and form the point cloud data. The laser pulse energy allowed at the exit aperture is the first key parameter that can determine the amount of available signal photons and the subsequent system performance.
According to the IEC 60825-1 eye safety standard for a Class 1 laser, the determination of the allowed photonic energy is based on parameters such as laser pulse width, repetition rate, aperture diameter, beam waist, and collimated angle, among others. In our estimation, with a typical 905 nm laser diode at a 200 µm aperture and capable of 90 W peak optical power, the allowed maximum pulse energy is limited to 92 nJ over a 3 ns pulse at a 100 kHz repetition rate. This maximum energy is determined under the assumption that all photons enter into an 8-mm-diameter pupil of a human eye. On the other hand, since 1550 nm is intrinsically eye-safe, in theory, the allowed pulse energy can be as high as 29 µJ over a 10-ns pulse width at a 400 kHz repetition rate, which is 300X higher than the 905 nm laser allows.
In practice, the newly developed triple-junction 1550 nm laser diode with a 350 µm aperture capable of delivering 110 W peak power over a 10 ns pulse width (see Fig. 3) would be able to generate an allowed energy of 1.1 µJ, which is 12X higher than the 905 nm laser allows. With a 4X higher repetition rate and lower photonic energy, 1550 nm pulses over a time span of 1 s would be able to generate 80X more photons than 905 nm.Photon budget by distance, target reflectivity, and atmospheric loss
To assess the performance of a lidar system, we need to examine various parameters that impact the photon count prior to their collection by the receiver. The equation below is used to calculate the overall signal photons along the light path exiting a lidar; here, R is the distance, ρ is the target reflectivity, atmospheric extinction coefficient is γ, the receiver aperture is A, and the receiver optical system efficiency η 2.
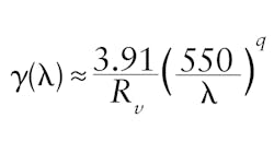
It is noted that the signal gets drastically attenuated by the geometric ratio of the receiver aperture to the flight distance squared. Signal photons also get absorbed, scattered, or reflected by the target surface, and the returned photons are collected by the photoreceiver aperture. The transmission ratio for the laser beam through the air is calculated by the term exp (-2γR). The coefficient γ varies according to the wavelength of the radiation and meteorological visual range, which can be expressed by the equation below:
where Rν is the visibility range and λ is the wavelength, q is calculated by q = 0.585 Rν1/3 when the visibility is less than 6 km, and 1.3 when over 6 km. Using this equation, it is found that the transmitted signal at a 200 m distance can be at a high of 98% when the visibility is over 20 km and can be only 50% when the visibility is less than 2 km.
While investigating the photon budget as photon loss quickly builds up due to the long range, low target reflectivity, and atmospheric media loss, it may be found that a lidar simply runs out of useable photons. The table exhibits photon counts at 1550 nm and 905 nm wavelengths for a 200 m distance, 10% target reflectivity, 20 km of visibility, and an optical system with 85% transmission before the receiver. It is important to point out that the 1550 nm wavelength results in 83X more available photons when compared to 905 nm; as a result, a lidar that is dark and ineffective over a 200 m range using 905 nm can, by instead using a triple-junction 1550 nm laser diode, be turned into a lidar that is bright, effectively measuring over the whole 200 nm range.
Signal-to-noise ratio and probability of detection PD
To assess the lidar performance, we estimate the signal and noise of the overall system; the detection probability is determined by the SNR. The signal current is is calculated from the photonic power Ps as shown in:
where Ro is unity gain responsivity [A/W], and M is the avalanche gain of an avalanche photodiode (APD) used in a SemiNex study. Typically, a silicon (Si) APD is used for 905 nm lidar and an indium gallium arsenide (InGaAs) APD for 1550 nm. The noise calculation includes the dark current of the APD, shot noise, and thermal noise, which can be expressed by:4
where ID is the dark current, Ps is the signal photon flux onto the APD, PB is the solar irradiance background noise, F is the excess noise factor, It is the thermal (Johnson) noise calculated by 4kBT/Req, and BW is the system bandwidth.
As the returned signal photons are collected by the receiver aperture, the solar background noise also needs to be considered in the shot noise calculation. The total solar background power incident on the APD can be estimated by the equation below, assuming the worst scenario when the angle between the target surface is normal and the line joining the target and receiver center is zero:4
For comparison, we adopt known specifications of Si APDs (for 905 nm systems) and InGaAs APDs (for 1550 nm systems), a 50 mm receiver aperture, typical avalanche gain of 100 for Si and 30 for InGaAs APD, and an excess noise factor of 5 and 10 for Si and InGaAs APDs, respectively. With the assumed system parameters at 80% of the receiver optical efficiency, 20 MHz of system bandwidth and 10 Mohms of equivalent resistance, we obtain the SNR as:
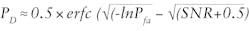
Similar to radar, the probability of detection PD for lidar is approximated with a complementary error function for a target:6
where Pfa is the probability of a false alarm. Thorough investigation between different lidar designs requires more-rigorous numerical simulation, as targets can be fluctuated by changing directions with the four Swerling models.7 In our benchmark, a typical 1% for the probability of false alarm is assumed.
Figure 5 shows the benchmark results of lidar with a 1550 nm triple-junction laser diode versus 905 nm under various conditions of distance, target reflectivity, and visibility. In general, 1550 nm lidar touts a superior performance over 905 nm. At a 100 m distance, 905 nm needs a high target reflectivity to achieve a decent SNR and probability of detection. By comparison, 1550 nm lidar performs at 100% detection probability. A single-emitter 905 nm lidar with poor SNR is unable to detect any object beyond 100 m, while 1550 nm outperforms by 60X in SNR and 24X in detection probability at 200 m. At the 250 m range, a single 1550 nm can function nicely in both clear-sky and low-visibility conditions. Given the safety level required for automotive lidar, the 1550 nm performance may enable fully autonomous lidar implementation with confidence.In this benchmark, we assume that the beam diameter of the laser emitter matches the size of a dilated pupil. In practice, 905 nm lidar designs often add many more emitters and enlarge the beam diameters significantly to meet the safety standards, achieve a better SNR, and enable longer distances. Such an approach for 905 nm complicates the overall lidar design, adds significant costs, and deteriorates the image resolution of the target. In comparison, lidar systems with a 1550 nm triple-junction laser diode can deliver longer range with lower complexity for autonomous vehicles.
The benchmark results show that the eye safety requirement drastically limits the usefulness and increases the complexity of 905 nm in lidar application. With a single emitter, such a lidar cannot detect objects over a 100 m distance, which completely undermines the ultimate goals of a reliable lidar system for autonomous vehicles in all conditions.
On the other hand, the new triple-junction 1550 nm laser diode is eye safe and able to deliver the best lidar performance for autonomous vehicles at long range. The 1550 nm triple-junction diode provides a practical path forward for autonomous vehicles and the automotive industry with a simpler lidar system without sacrificing detection resolutions. The 1350 nm laser diodes with higher efficiencies and higher optical powers may be an even better choice for lidar when considering a significantly lower solar noise.
REFERENCES
1. See https://bit.ly/SemiNex-Ref1.
2. See https://bit.ly/SemiNex-Ref2.
3. D.-L. Kim et al., Opt. Eng., 60, 3 (2021); doi:10.1117/1.oe.60.3.037102.
4. H. N. Burns et al., Opt. Eng., 30, 3, 323 (1991); doi:10.1117/12.55801.
5. See https://bit.ly/SemiNex-Ref5.
6. B. R. Mahafza, Radar Systems Analysis and Design Using MATLAB (2000).
7. P. Swerling, IEEE Trans. Inf. Theory, 3, 3, 175–178 (1957); doi:10.1109/tit.1957.1057419.
About the Author
Sidi Aboujja
Vice President of Engineering & Development, SemiNex
Sidi Aboujja, Ph.D., is Vice President of Engineering & Development at SemiNex (Peabody, MA).











