Correction
In the Back to Basics article, Dispersion control boosts high-speed transmission, (July 2000, p. 110), author Jeff Hecht wrote: "In normal usage, chromatic dispersion is positive when long wavelengths travel faster than shorter ones." As reader Erich Czakler of Telekom Austria pointed out, Hecht's statement is not accurate.
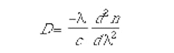
Chromatic dispersion is derived by taking the first derivative of group delay with respect to wavelength, which itself is the first derivative of the refractive index with respect to wavelength. The proper value of dispersion is the negative of the wavelength divided by the speed of light, times the second derivative of refractive index with respect to wavelength:
null
By the normal sign convention, this results in negative chromatic dispersion at wavelengths shorter than the zero dispersion wavelength and a positive dispersion at longer wavelengths.
Unfortunately, these sign conventions are not followed consistently.
Also, on page 108, the article says that dispersion slope of "typical" fiber is 0.08 ps/nm2-km. In case this isn't clear, it refers to non-zero dispersion-shifted fiber.

