Nonlinear Optics: PPLN waveguides perform quantum frequency conversion
JAMES E. TONEY and SRI SRIRAM
Optical frequency conversion based on nonlinear optical interactions in periodically poled lithium niobate (PPLN) is finding widespread application in the burgeoning fields of quantum information processing and spectroscopy. Second-harmonic generation in PPLN can be used to convert between the 700 to 800 nm wavelength band, where single-photon emitters and detectors are most effective, and the 1550 nm band for minimum transmission loss over optical fiber.1 Spontaneous parametric down-conversion (SPDC) in PPLN can be used to generate polarization-entangled photon pairs for quantum key distribution and other applications.2
Second-order nonlinear optical processes
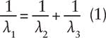
where n1, n2, and n3 are the refractive indices at the respective wavelengths. In a bulk device, the birefringence of the crystal is often used to satisfy Eq. 2 by proper selection of the propagation direction(s) relative to the crystal axes. That is not generally an option in a waveguide device, so instead the technique of quasi-phase matching (QPM) is used.
In QPM, the optic axis of the crystal is periodically reversed by application of a high voltage to create oppositely oriented ferroelectric domains. This process, periodic poling, creates a structure in which the sign of the nonlinear optical coefficient reverses periodically. The momentum conservation condition is then modified as:where П is the period, or pitch, of the structure.
If two of the wavelengths are specified, the third is determined by Eq. 1. The necessary poling period to realize that frequency conversion process is then determined by Eq. 3. Note that accurate determination of П requires accurate knowledge of the dispersion relation of the material. For bulk devices, the indices can be determined from published temperature- and wavelength-dependent Sellmeier equations, but in waveguide devices the effective indices must be determined through detailed modeling.
PPLN waveguides
In bulk NLO devices, the efficiency is limited by divergence of the beam, with most of the conversion occurring near the beam waist where the intensity is highest. Optical waveguides are used to maintain high incremental conversion efficiency throughout the length of the device.
In lithium niobate (LiNbO3), most waveguides are fabricated by diffusion of dopants—either titanium or zinc ions or protons in most cases—to a depth of a few micrometers. The refractive index increases with dopant concentration, so that the diffused region forms the waveguide core. Proton-exchanged or zinc-diffused waveguides are preferred for high-power applications, since they are less susceptible to optical damage from photorefractive effects.
In proton exchange, protons are substituted for lithium ions in the LiNbO3 lattice. After the initial proton-exchange step, an annealing step at 300°–350°C is carried out to diffuse the protons and restore the NLO coefficient in the near-surface region. The result is an annealed proton-exchange (APE) waveguide.
APE waveguides have an asymmetric mode profile and relatively high dispersion, since the peak index occurs at the LiNbO3-air interface. A more symmetrical, buried index profile can be achieved by an additional step called reverse proton exchange (RPE). In RPE, the APE waveguide is immersed in a lithium-rich salt solution, allowing lithium ions to displace some of the previously introduced protons near the surface. The result is an index profile that peaks at a depth of 2 to 3 μm beneath the surface, producing a more symmetrical mode profile with less dispersion, better overlap among the shorter- and longer-wavelength waves, and higher input/output coupling efficiency to single-mode optical fiber.
The design concept for implementation of the non-critical phase-matched waveguide is shown in Fig. 1. Essentially, the non-critical phase-matched conversion section will consist of a widening of the waveguide to increase the confinement factor in the plane of the chip. Excitation of higher-order modes in the widened section can be suppressed by appropriate mode tapering. The propagating fundamental mode in the widened section exhibits an effective index that is determined almost entirely by the core index. This means that any fabrication-resolution-limited deviations in the diffused waveguide width will have limited impact on the bandwidth relative to a narrower waveguide.
Types of three-wave interactions
Several types of three-wave interactions exist, and are classified as follows:
1. Second-harmonic generation (SHG): Input wave at λ2 = λ3, output wave at λ1 = λ2/2;
2. Sum-frequency generation (SFG): Input waves at λ2 and λ3, output wave at λ1;
3. Spontaneous parametric down-conversion (SPDC): Input wave at λ1, output waves at λ2 and λ3; and
4. Difference-frequency generation (DFG): Input waves at λ1 and λ2, output wave at λ3. Note that for energy to be conserved, in this case there must be two output photons at λ2 for each input photon at λ2. For this reason, DFG is sometimes called optical parametric amplification (OPA).
Figure 2 illustrates each of these processes.with P1(0) and P2(0) being the power of the two input waves at the input of the PPLN structure. This relation is typically expressed as slope efficiency in percent/W:
The factor-of-four reduction is usually explained as being due to a "degeneracy factor," but it can be viewed more simply by thinking of the input wave as two waves, each containing half the power.
Application
Frequency-conversion waveguides are of particular interest in quantum communication, laser spectroscopy research, scientific, and industrial use when a specific "interrogation" wavelength is not available from direct laser sources, solid-state lasers, or gas lasers. PPLN waveguides provide a cost-effective solution to address these applications. Waveguide input wavelength can vary from 500 to 4000 nm.
A fully packaged device suitable for field deployment integrates a PPLN waveguide with input and output fibers and a thermoelectric cooler for temperature stabilization in a robust metal case (see Fig. 4). The device shown is designed to accept a supercontinuum light source in the 2000 nm region and outputs a frequency-doubled signal centered at 1064 nm.Cryptography is widely used for securing communications, enabling restricted access of data communications only to its recipient. However, because traditional encryption remains vulnerable to "hacking," there is a continued interest in deriving a "perfect" encryption algorithm or technique. Quantum physics and the Heisenberg principle have enabled a new technique called quantum-key distribution (QKD) in which the associated inherent properties of photons can be used. In QKD, a secret key can be exchanged between two parties, "Alice" and "Bob," in the form of photons carrying different polarization states. If someone tries to eavesdrop and intercept the transmitted key, this action will modify the photon's quantum state, which Alice and Bob can detect. For this reason, QKD is viewed as a very promising encryption technique.
QKD has seen practical demonstrations across the world with operational networks deployed in the U.S., Europe, Canada, and Japan. There continues to be a growing academic research community developing new communication architecture and components. Commercial companies have also launched hardware solutions on the market using QKD as the core technology.
In quantum communications, PPLN waveguides are used to down-convert laser sources to the 1550 nm wavelength used in quantum transmitters, but also to up-convert to a 775 nm wavelength suitable for silicon detectors on the receiving end of the transmission link.
REFERENCES
1. A. P. VanDevender and P. G. Kwiat, J. Opt. Soc. Am. B, 24, 295–299 (2007).
2. A. Martin et al., New J. Phys., 12, 103005 (2010).
3. P. E. Powers, Fundamentals of Nonlinear Optics, chapters 4–7, CRC Press, Boca Raton, FL (2011).
4. A. Loni, "An experimental study of proton-exchanged lithium niobate optical waveguides," Ph.D. thesis, University of Glasgow, 31–33 (1987).
5. M. M. Howerton et al., IEEE J. Quantum Electron., 27, 593–601 (1991).
6. R. V. Roussev, "Optical frequency mixers in periodically poled lithium niobate: materials, modeling and characterization," Ph.D. dissertation, Stanford University, 16–53 and references therein (2006).
James E. Toney and Sri Sriram are at SRICO, 2724 Sawbury Boulevard, Columbus, OH; e-mail: [email protected]; www.srico.com.






